Table of Contents

ExplanationImplementation

Official Analysis

Explanation

This problem can be solved by a greedy approach. In particular, we perform a depth-first search on the given tree. For each node (villager) that is still at its original position, we swap it with its only neighbor, namely its parent node. For the root node which does not have a parent node, we can swap it with any of its children.

By swapping two nodes where at least one of them is not processed yet, we can guarantee that no node will be swapped back to its original position. We can also show that swapping between neighbors is the optimal solution: Suppose we would swap two unprocessed nodes which are not neighbors. The distance the two nodes need to travel would then be equal or larger than 4. If we instead just swap them with their respective neighbors, the distance they need to travel is exactly 4. Therefore, swapping nodes that are not neighbors never lead to a better solution.

To illustrate this idea, let's consider the following example:

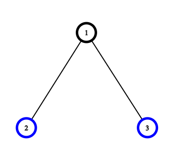
Example 1

Nodes 2 and 3 are not swapped yet. Now, if we swap node 2 and 3 directly, the total distance travelled would be 22=42 * 2 = 4. It will never be less than just swapping the nodes with their neighbors, which in this case means swapping node 1 with 2 and then node 2 with 3, resulting in a total distance of 2(21)=42 * (2 * 1) = 4.

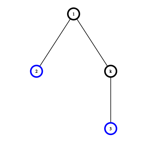
If there are more nodes between node 2 and 3, then the distance required to swap them directly will be more than 4. In the following graph, the total distance travelled would be 23=62 * 3 = 6, while the distance of just swapping nodes with their neighbors remains the same, i.e. 4.

Example 2

Implementation

Time Complexity: O(N)\mathcal{O}(N)

C++

#include <bits/stdc++.h>
using namespace std;
/**
* Perform a depth-first search on the given node and swap villagers if
* necessary.
* @return the sum of distances villagers need to travel
*/
int dfs(int node, int parent, vector<int> &changed_to, const vector<vector<int>> &adj) {
int length_added = 0;

Join the USACO Forum!

Stuck on a problem, or don't understand a module? Join the USACO Forum and get help from other competitive programmers!